Кронштейн профільний трикутний WTK400 (721440)

Виробник: BAKS
Артикул: WTK400
Ціна за дзвінком

Підтримка кабельних трас.

Матеріал

MC - сталь з покриттям Mangelis®

Доступні варіанти оздоблення:

F - гарячеоцинкована сталь PN-EN ISO 1461:2023-02

E - нержавіюча сталь

L - фарбування у стандартний колір RAL

Додаткова інформація

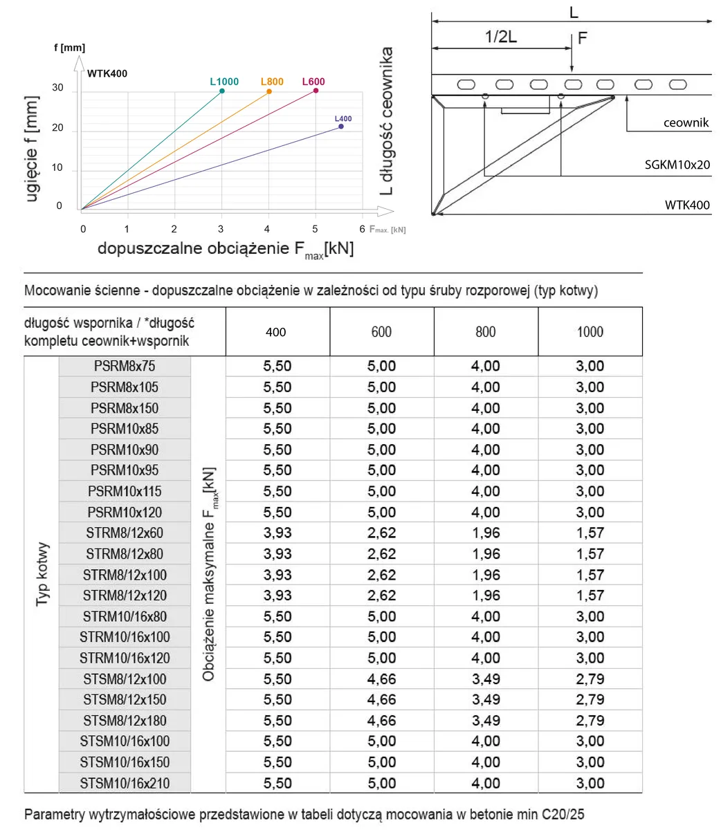
– для монтажу на стіну/стелю рекомендуємо 2 шт. PSRM10x90

– настінний кронштейн призначений для зазначеної ширини кабельної траси (A)

– прокладання ширшої кабельної траси (B) або дистанціювання від номінальної стіни (A) – у разі обходу перешкоди – можливе після монтажу довшого каналу CE60H40/... на настінному кронштейні

Характеристики товару

Назва атрибуту Значення атрибуту
Системи кабельних трас
Типи елементів кронштейн
Товщина листа 3.0 мм
Властивості матеріалу F - гарячеоцинкована сталь, E - нержавіюча сталь, L - фарбування в стандартний колір RAL
Вага 1шт [кг] 1.86
Кількість [шт] 1
F макс. [кН] 5.50